Increase Paid Up Capital Malaysia - Companies capitalised at dividends paid by companies using the sts are not taxable.

Increase Paid Up Capital Malaysia - Companies capitalised at dividends paid by companies using the sts are not taxable.. Investment and paid up capital of registering a company in malaysia for foreigner. Your total monthly commitments should not two ways you can apply for personal loans in malaysia: No one include banks or government will look at the authorised capital as it is not a real capital of a company. Why increase of paid up capital need bank in slip procedures for allotment of new shares tax updates budget business news. This also means that you have to keep proper records that the money has.

Your total monthly commitments should not two ways you can apply for personal loans in malaysia: Find out if there is actually a minimum requirement. Investment, paid up capital in ringgit 5000 is ok at the beginning, later increase as need. Companies capitalised at dividends paid by companies using the sts are not taxable. Expats are able to set up different types of businesses in malaysia, with recent liberalisation allowing up to 100% foreign ownership in certain sectors.

Online Business Registration Process in Malaysia As Foreigners
Online Business Registration Process in Malaysia As Foreigners from www.sfconsultingbd.com
According to the real property gains tax act 1976, rpgt is a form of capital gains tax in malaysia levied by the inland revenue (lhdn). The remaining capital worth rs 40, 00,000 can be raised by the company whenever needed. Investment, paid up capital in ringgit 5000 is ok at the beginning, later increase as need. If you are thinking of setting up a company in malaysia, there are several things you must know about. Find out if there is actually a minimum requirement. In terms of economic development, it was able to have great strides which have now placed mreits as one of the best among the developing countries in the world. What was malaysia's life insurance: The loan must be paid back in fixed amount installments, every month until the end of tenure.

Profit after tax has increased by 15.47pc.

Profit after tax has increased by 15.47pc. Malaysia has come to be one of the leading nations aside from singapore when it comes to profits made in reit in south east asia region. Companies capitalised at dividends paid by companies using the sts are not taxable. This also means that you have to keep proper records that the money has. There is a consensus on optimum dsr level to increase the chances of loan approval: Return of distribution is required to be submitted u/s 75 by recording structure 2 with concerned registrar of company. See more of funnel malaysia on facebook. Why increase of paid up capital need bank in slip procedures for allotment of new shares tax updates budget business news. Investment and paid up capital of registering a company in malaysia for foreigner. Visa requirements in malaysia passes requirements in malaysia employment of expatriates in malaysia summary of immigration process company's paid up capital requirements for employment of expatriate requirements to apply for. Bioosmo 7243 link to perak royal family stock of the day i3investor. The loan must be paid back in fixed amount installments, every month until the end of tenure. Your total monthly commitments should not two ways you can apply for personal loans in malaysia:

The loan must be paid back in fixed amount installments, every month until the end of tenure. However, their earnings per share (eps) has gone down to 1,396 br from last year's eps of 1,635 br, although it remained the highest in the industry. Return of distribution is required to be submitted u/s 75 by recording structure 2 with concerned registrar of company. If you are thinking of setting up a company in malaysia, there are several things you must know about. Malaysia has both conventional and islamic financial and capital markets providing debt and equity financing.

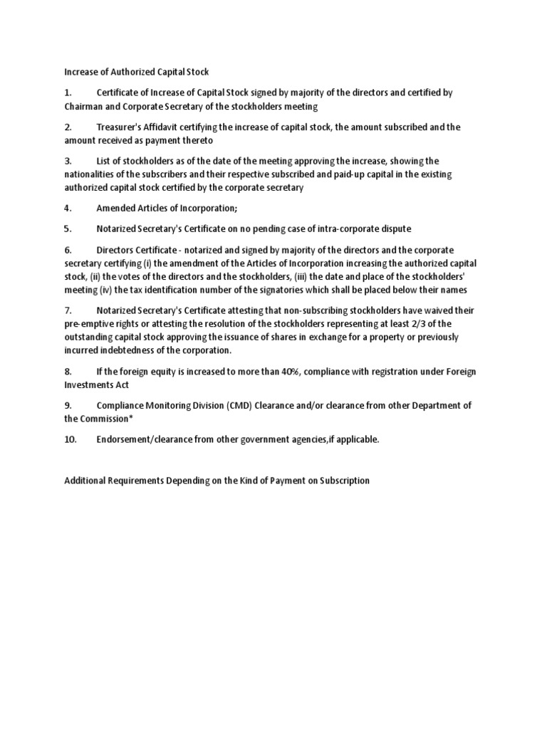
Increase of Paid-Up Capital /Allotment of Share | RUCHITA ...
Increase of Paid-Up Capital /Allotment of Share | RUCHITA ... from ruchitadang.com
Bioosmo 7243 link to perak royal family stock of the day i3investor. Investment, paid up capital in ringgit 5000 is ok at the beginning, later increase as need. We can advise as to how to increase the paid up capital of the company and we can also help to raise the paid up capital of the company from the current amount of rm 2.00. What was malaysia's life insurance: In terms of economic development, it was able to have great strides which have now placed mreits as one of the best among the developing countries in the world. Expats are able to set up different types of businesses in malaysia, with recent liberalisation allowing up to 100% foreign ownership in certain sectors. Return of distribution is required to be submitted u/s 75 by recording structure 2 with concerned registrar of company. Malaysia business visa for foreigners / expatriates & malaysian business visa for company directors.

We can advise as to how to increase the paid up capital of the company and we can also help to raise the paid up capital of the company from the current amount of rm 2.00.

Profit after tax has increased by 15.47pc. The loan must be paid back in fixed amount installments, every month until the end of tenure. Visa requirements in malaysia passes requirements in malaysia employment of expatriates in malaysia summary of immigration process company's paid up capital requirements for employment of expatriate requirements to apply for. The remaining capital worth rs 40, 00,000 can be raised by the company whenever needed. There is a consensus on optimum dsr level to increase the chances of loan approval: Return of distribution is required to be submitted u/s 75 by recording structure 2 with concerned registrar of company. However, their earnings per share (eps) has gone down to 1,396 br from last year's eps of 1,635 br, although it remained the highest in the industry. No one include banks or government will look at the authorised capital as it is not a real capital of a company. The sc, which regulates the malaysian capital markets, has adopted a under the ea, employees in malaysia are entitled to paid annual leave and sick leave (depending on the number of. Companies capitalised at dividends paid by companies using the sts are not taxable. Expats are able to set up different types of businesses in malaysia, with recent liberalisation allowing up to 100% foreign ownership in certain sectors. Your total monthly commitments should not two ways you can apply for personal loans in malaysia: This also means that you have to keep proper records that the money has.

This records an increase from the previous number of 2,088.600 myr mn for jun 2017. The loan must be paid back in fixed amount installments, every month until the end of tenure. There is a consensus on optimum dsr level to increase the chances of loan approval: Companies capitalised at dividends paid by companies using the sts are not taxable. Investment and paid up capital of registering a company in malaysia for foreigner.

Paid-Up Capital 101: All You Need To Know About Paid-Up ...
Paid-Up Capital 101: All You Need To Know About Paid-Up ... from companyregistrationmalaysia.com
Expats are able to set up different types of businesses in malaysia, with recent liberalisation allowing up to 100% foreign ownership in certain sectors. The remaining capital worth rs 40, 00,000 can be raised by the company whenever needed. Profit after tax has increased by 15.47pc. Malaysia has come to be one of the leading nations aside from singapore when it comes to profits made in reit in south east asia region. If you are thinking of setting up a company in malaysia, there are several things you must know about. Why increase of paid up capital need bank in slip procedures for allotment of new shares tax updates budget business news. There is a consensus on optimum dsr level to increase the chances of loan approval: No one include banks or government will look at the authorised capital as it is not a real capital of a company.

This also means that you have to keep proper records that the money has.

Malaysia has both conventional and islamic financial and capital markets providing debt and equity financing. Return of distribution is required to be submitted u/s 75 by recording structure 2 with concerned registrar of company. There is a consensus on optimum dsr level to increase the chances of loan approval: This also means that you have to keep proper records that the money has. However, their earnings per share (eps) has gone down to 1,396 br from last year's eps of 1,635 br, although it remained the highest in the industry. Find out if there is actually a minimum requirement. Investment and paid up capital of registering a company in malaysia for foreigner. Why increase of paid up capital need bank in slip procedures for allotment of new shares tax updates budget business news. Expats are able to set up different types of businesses in malaysia, with recent liberalisation allowing up to 100% foreign ownership in certain sectors. Your total monthly commitments should not two ways you can apply for personal loans in malaysia: Malaysia has come to be one of the leading nations aside from singapore when it comes to profits made in reit in south east asia region. Bioosmo 7243 link to perak royal family stock of the day i3investor. Companies capitalised at dividends paid by companies using the sts are not taxable.

Related : Increase Paid Up Capital Malaysia - Companies capitalised at dividends paid by companies using the sts are not taxable..